微反应器连续流合成甲基砜
2024-01-05
图片

甲基砜(MSM)是一种重要的有机硫化物,在胶原蛋白合成中发挥关键作用,并具有潜在的健康益处,包括提高胰岛素敏感性和促进体内糖代谢。传统用于MSM生产的硝酸盐氧化法存在废酸产生量高、MSM产品气味难闻、安全隐患等缺点。在绿色化学的倡导下,过氧化氢被用作氧化剂,通过氧化二甲基亚砜(DMSO)来制备MSM。该工艺副产物仅为水和氧,具有纯度高、原子利用率高、工艺简单等优点,受到人们的密切关注。在实际生产中,半间歇式反应器仍在使用,但由于反应的高放热特性,该工艺存在严重的安全隐患。一旦反应器传热不足,反应体系的局部区域将产生热点,这可能导致关键的安全问题,包括热失控和爆炸。

图片

对于高放热反应,微通道反应器可以有效地去除反应热并稳定反应温度,从而防止热失控。此外,微通道反应器尺寸较小,减少了反应物持量,显著提高了反应过程的安全性。近年来,微通道技术应用于各种高风险反应,包括硝化反应、氧化反应、氯化反应、加氢反应、烷基化反应、酰基化反应、酰基化反应等。文中构建了几种不同规格的微通道反应器,并将其应用于MSM的连续流合成,获得了高产率和高纯度。

图片

图片
文中提出了一种利用微通道反应器进行连续流合成的策略,以提高工业规模MSM生产的安全性和效率。建立了四种规格的微通道反应器,并应用于高收率、高纯度的MSM的连续流动合成。系统地研究了通道直径、水浴温度、催化剂用量、停留时间和分段温度控制对MSM收率的影响。微通道连续流放大工艺可以在保证MSM高产率的同时大大提高MSM的生产率,是实现MSM工业化高效、安全生产的有效策略。

图片

图片

单温控微通道反应器中的连续反应过程:在单温控微通道实验平台上,选择了3种不同内径、壁厚相同(2mm × 1mm3mm × 1mm 4mm × 1mm)的聚四氟乙烯(PTFE)管作为微通道反应器MR-1。将聚四氟乙烯管置于恒温水浴中,通过调节水浴温度Tw来改变反应温度,通过改变聚四氟乙烯管的长度来控制反应物的停留时间。

图片

2mm × 1 mm聚四氟乙烯管中,当催化剂用量为0.0005 mol时,在不同温度下,随着停留时间的延长,MSM的产率逐渐增加。随着Tw的增加,反应速率加快,MSM的收率逐渐增加。此外,当Tw70 °C提高到80 °C时,不同停留时间下的MSM收率变化不大,这可能与催化剂用量低限制了反应速率有关。因此,温度的升高和停留时间的延长有利于低剂量催化剂获得较高的MSM收率;当催化剂用量为0.001 mol时,在停留时间不超过4 min时,随着停留时间的增加,MSM的产量逐渐增加。当停留时间从4 min延长到5 min时,MSM的产量有不同程度的下降。造成这种现象的主要原因是在前4 min内,由于DMSO浓度较高,DMSO的氧化反应占主导地位。当停留时间超过4 min时,体系中的DMSO浓度降低,H2O2分解反应的副反应占主导地位。H2O2分解反应产生的水稀释了体系中MSM的浓度,导致MSM收率降低。此外,由于MSM的升华温度较低,部分MSM会随着H2O2分解产生的氧气逃逸到外部环境中;当催化剂用量为0.002 mol 时,在Tw40°C时,随着停留时间的增加,MSM的产率增加。当温度超过50°C时,在2 min时最高产量达到最高值。当停留时间超过2 min时,MSM产量随停留时间的增加而减少。这种现象可归因于高催化剂用量引起的副反应增加。由此可见,催化剂用量越大,Tw值越高,不利于MSM收率的提高。

图片

3mm × 1 mm聚四氟乙烯管中,当催化剂用量为0.0005 mol时,随着停留时间的延长,MSM的产率逐渐增加。随着Tw的增加,反应速率加快,MSM的收率逐渐增加。此外,在相同条件下,与2mm × 1 mm聚四氟乙烯(PTFE)管内的连续流动工艺相比,MSM 产率有所提高,这可能与反应器的传热能力有所降低有关;当催化剂用量为0.001 mol 时,在40 °C随着停留时间的延长,MSM收率均匀增加,表明在此条件下流动体系中反应稳定。当温度超过40 °C 时,停留时间对产量的影响逐渐减小,在60 °C时产量达到最大值,当温度超过60 °C时,由于H2O2在高温下的分解作用,MSM的产率开始略有下降;当催化剂用量为0.002 mol时,在较短的停留时间内可以获得最大的MSM产率。催化剂用量和Tw值越高,H2O2分解越严重。

图片

4mm × 1 mm聚四氟乙烯管中,当催化剂用量为0.0005 mol时,随着停留时间的延长,MSM的产率逐渐增加,而水浴温度的变化对产率的影响不大。造成这种现象的主要原因是管径的增大降低了反应器的传热效果,流动体系中反应产生的热量不能及时去除。在催化剂用量为0.001 mol时,Tw值和停留时间对MSM产率的影响较小。当停留时间较短时,由于反应物浓度较高,反应速率较快,反应初期热释放较大。当停留时间增加到3分钟时,流动体系中的反应物有足够的时间参与反应,从而产生更多的MSM。随着停留时间的延长,流动体系中剩余的H2O2在催化剂的作用下分解,导致MSM收率降低。当催化剂用量为0.002 mol时,随着停留时间的增加,MSM的产量先增加后减少。

图片

因此,微通道反应器在单个温控微通道中的传热效率主要受管径的影响。在传热效率较低的大直径反应器中,催化剂用量的增加可以加速反应速率,降低了水浴温度对主反应的影响,同时加速了H2O2的分解副反应。此外,实现理论停留时间也比较困难,会出现流动系统的热失控现象。

图片

双温控微通道反应器中的连续反应过程:通过H2O2半间歇氧化DMSO的放热行为,可以发现在微通道的前段发生了剧烈的反应。这是由于在反应的初始阶段释放了大量的热量,外部水浴环境无法及时清除,导致部分反应物热失控。对于这个问题,双温控微通道反应器MR-2被设计来优化反应过程。

图片

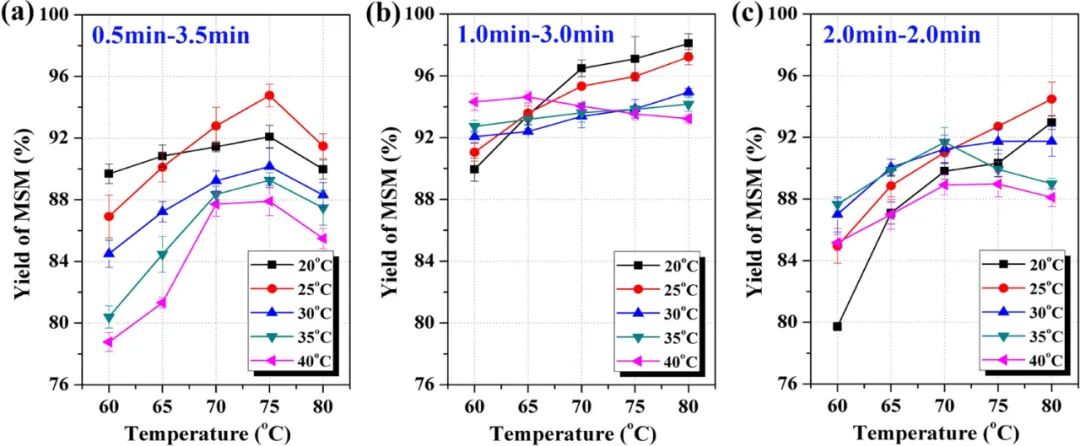
当第一个温控区的停留时间为0.5 min,第二个温控区为3.5 min时,随着第二温控区温度Ts的升高,MSM产率不断增加,在75 °C 时达到最大值。在第一温控区温度Tf20 °C25 °C时,反应体系可以获得较高的MSM收率。这是由于Tf的增加导致反应体系的传热效率降低,并出现一些热点,导致H2O2的分解,缩短了实际停留时间;当第一温度控制区停留时间为1.0 min,第二温度控制区停留时间为3.0 min时,在Tf20 °C 时,随着Ts温度的升高,MSM的收率增加。当Tf40 °CTs超过65 °C时,MSM收率的降低可归因于流动体系中H2O2的分解。此外,当温度为80 °C时,随着Tf的增加,MSM的产率降低。因此为了保持流动体系的稳定性,避免H2O2副反应的分解,确保更多的原料进入第二温控区参与主反应并产生MSM,需要降低Tf值;当第一温度控制区停留时间为2.0 min,第二温度控制区停留时间为2.0 min时,在Tf值分别为20 °C25 °C,流动体系中MSM的产率随着温度的升高而增加。然而,当Tf超过30 °C时,由于传热效率降低,流动系统产生热点,从而缩短了反应物的实际停留时间。Ts的较高值会加剧流动系统中热点的产生,并导致H2O2的持续分解,大大降低了MSM的收率。

图片

根据实验结果,双温控制连续流工艺可以有效地提高MSM的收率。通过降低水浴温度可以增加反应介质与外部水浴的温差,提高微通道系统的传热效率。与停留时间为0.5 -3.52.0 -2.0 min相比,停留时间为1.0 -3.0 min的双温控反应体系得到的MSM收率较高。在第一温度控制区停留时间太短或太长不利于提高MSM产率。

放大微通道反应器中的连续反应过程:为了改善反应器中的传热,提高MSM的产量,MR-3被用作一个放大的微反应器。通过对连续反应过程中反应温度和副反应的监测,对连续反应过程进行了放大和优化。

图片

当催化剂用量为0.0005 mol 时,随着停留时间的延长和Tj的增加,反应体系中的MSM产率逐渐增加。微型反应器中催化剂用量低限制了体系的反应速率,提高Tj值可以获得较高的MSM收率。在催化剂用量为0.001 mol时,当温度从40 °C上升到60 °C时,随着停留时间的延长,MSM的产量增加。当温度超过60 °C时,随着Tj的增加,MSM的产量下降。而且,当温度高于60 °C时,随着停留时间的延长,MSM的产量先增加后减少。结果表明,催化剂用量的增加一方面会加快氧化反应的进程,另一方面会引起少量的H2O2分解。当催化剂用量为0.002 mol时,在不同停留时间下,随着Tj的增加,MSM产量逐渐减少。另外,停留时间的延长只能提高40 °C下的产量,停留时间对产量的影响随着Tj的进一步增加而逐渐减小。当温度超过60 °C 时,停留时间越长,MSM的产量越低。

图片

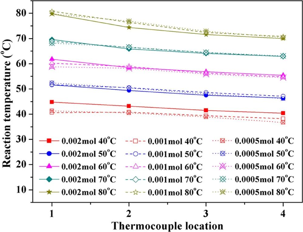
通过热电偶来监测不同工艺条件下四个位置点的温度,同一流程下的四个温度监测站点按降序依次为:1 > 2 > 3 > 4。这一趋势主要是由于当原料反应物被泵入放大微反应器时,高浓度的反应物和快速的反应速率导致更高的热量产生。这导致了显著的热量积累和Tr的上升。当反应物向前移动时,DMSOH2O2浓度的持续降低导致反应速率的降低,从而导致反应产生的热量的降低。另外,反应器内的四通管配件可以有效地将反应热散发到外部环境中,最终使被测试的Tr低于外部水浴温度。

图片

通过比较不同催化剂用量下的温度变化,可以观察到在40°C下催化剂用量为0.002 mol的反应体系的Tr值高于其他两组。这是因为高剂量的催化剂加速了反应,并驱动反应系统在相同的停留时间内释放更多的热量。随着Tj的增加,催化剂用量较低的反应体系也获得了较高的反应速率,不同催化剂用量的反应体系之间的温度差逐渐减小。然而,当Tj达到80°C时,0.002mol催化剂用量的反应温度低于其他两组。这是因为高温会导致H2O2分解,从而产生大量氧气,从而减少反应物的实际停留时间。

图片

在保持理论停留时间为5 min的条件下,采用排水法测定了不同工艺条件下反应体系的产氧量。结果可以看出催化剂用量的增加和Tj值的增加都加剧了体系中H2O2的分解,增加了单位时间内的氧生成量。产氧量显著增加。系统中大量的氧气生成意味着H2O2分解的副反应加剧,这不利于提高系统中MSM的产率。

图片

结果表明,在H2O2氧化DMSO制备MSM的连续放大过程中,特殊结构的石英玻璃管具有优良的传热性能。催化剂用量过低会导致MSM收率降低,而催化剂用量过高会导致不可控反应和副反应的增加。因此,在扩大连续过程中,催化剂用量为0.001 mol是首选,这样可以保证快速反应速度,减少流动系统中过多的热点,避免反应失控。温度监测表明,系统的放热阶段主要集中在管道的前段。连接到热电偶的金属四通管件具有很高的散热特性。在工业生产设计中,应重视热电偶监测温度与流量系统实际温度的差异,以避免由于温度监测误差引起的工艺设计误差,从而导致反应过程不可控。

工业化微通道反应器中的连续反应过程:基于以往的实验结果和经济考虑,在工业化微通道反应器装置(MR-4)上进行了H2O2氧化DMSO生产MSM的工业连续流动过程。

图片

催化剂用量为0.001 mol,反应物在反应器中的总停留时间为5 min,总反应时间为4 min1-3反应板的Tj值设定在25 °C4-10反应板的Tj值设定在80 °C。经过20 min的稳定进料后,进行2 min的取样,并对目标产品MSM的产量进行了分析。利用MSM红外测定浓度的标准曲线,计算出MSM的收率为95.3%,时间收率为2.55 kg·h-1。连续进料300个工作日,MSM的年平均时间产量为18.36 t·a-1,年平均空间产量为36.43 t·a-1·m-3

图片

四种反应过程的对比分析:根据前文提供的实验数据和条件,计算了Easy max实验工艺、RC1反应量热仪实验工艺、3mm × 1 mm微通道实验工艺和工业化微通道反应器工艺生产MSM的收率。很明显,微通道连续流动扩增过程显著提高了MSM的生产率,同时保持了高的收率。此外,该工艺在工业生产中是切实可行和安全的。

图片

RC1半间歇工艺和MR-4连续流优化工艺的参数进行了对比分析。该工艺的改进使时空收率提高了近十倍。此外,连续流中的最高超限温度不超过10 ℃,超温时间小于20 s,表明采用微通道工艺可以避免失控反应,有效地改善制备MSM的本质安全。同时,通过年平均时间产量和空间产量的比较,可以看出微通道连续流工艺可以显著提高生产能力,节省生产时间和成本,具有较好的应用前景。因此,该工艺对工业化生产具有实际可行性和安全性。

图片

图片

 

Continuous-Flow Synthesis of Methyl Sulfone with Microchannel Reactors: A Safer and Efficient Production Strategy.

Zhiquan Chen, Jian Liu, Lei Ni*, Juncheng Jiang*, Yuan Yu, and Yong Pan.

Organic Process Research & Development (IF 3.4) 2023.

https://doi.org/10.1021/acs.oprd.3c00106.

 

应用案例
将“产品和服务”奉献给广大用户
了解更多
应用视频
BP系列在线背压调节器产品使用说明书
了解更多
相关产品
将“产品和服务”奉献给广大用户
了解更多
© 2023 欧世盛(北京)科技有限公司 版权所有
京公网安备11010802043632
智能客服
销售热线
400-178-1078
18513136777
周一至周五 9:00-18:00
微信公众号
微信小程序
微信视频号
抖音视频号
给我们留言
给我们留言
为了更好、更全面的进行商务合作,您可以直接拨打热线:010-82439598
也可以给我们留言,提交信息后,我们会尽快致电与您联系。
提交需求
24小时全国服务热线 400-178-1078
©2026 欧世盛 | 微反应流动化学解决方案智造商 - 催化剂评价装置厂商版权所有
京公网安备11010802043632
微信公众号
微信小程序
微信视频号
抖音视频号
长按/截图保存,扫描识别二维码
给我们留言
给我们留言
为了更好、更全面的进行商务合作,您可以直接拨打热线:010-82439598
也可以给我们留言,提交信息后,我们会尽快致电与您联系。
提交需求